مكتب الصناعة والتجارة بعدن يصدر قوائم بأسعار المواد الغذائية الأساسية بتاريخ 17 أغسطس 2025
عدن، اليمن – في خطوة تهدف إلى تنظيم السوق ومكافحة التلاعب بالأسعار، أصدر مكتب الصناعة والتجارة بمحافظة عدن قوائم بأسعار المواد الغذائية الأساسية، وذلك بتاريخ 17 أغسطس 2025. وتأتي هذه القوائم كمرجع توجيهي للتجار والمستهلكين على حد سواء، في محاولة لضمان استقرار الأسعار في ظل الظروف الاقتصادية الراهنة.
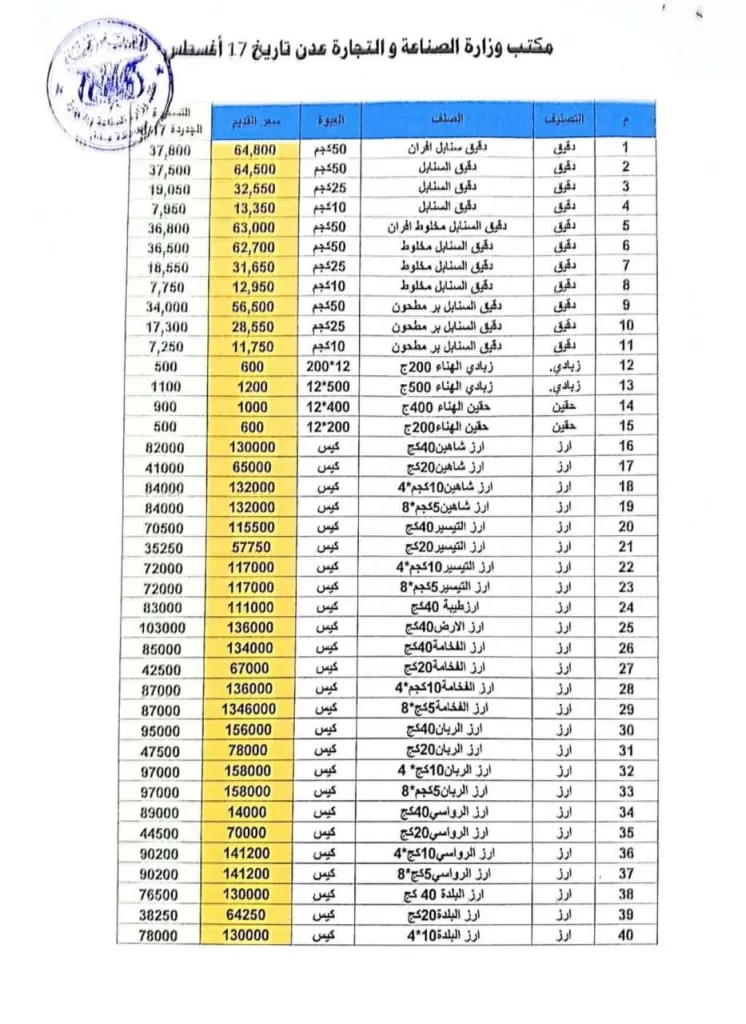
وقد أوضح المكتب في بيان له أن هذه القوائم تعتبر مؤقتة، وسيتم متابعة وتحديث الأسعار بشكل دوري عند استقرار السوق. كما أشار البيان إلى أن الأسعار المحددة في القائمة تعتمد على سعر المواد في ميناء عدن، مع مراعاة هامش ربح معقول للتجار، وهو ما يعكس حرص المكتب على تحقيق التوازن بين حماية المستهلك وضمان استمرارية النشاط التجاري.
القوائم الصادرة شملت مجموعة واسعة من السلع الأساسية التي تهم المواطنين بشكل مباشر، بما في ذلك:
- منتجات الدقيق: بمختلف أنواعه وأحجامه، من دقيق السنابل إلى دقيق السنابل مخلوط وزبيدي.
- الأرز: قوائم تفصيلية لأنواع الأرز المتعددة مثل أرز التيساير، أرز الفراشة، أرز الوليمة، وأرز الوليمة 40 كجم، بالإضافة إلى أرز دلمون وأرز الرواء، مما يتيح للمستهلكين اختيار الأنسب لهم.
- الحبوب والمواد الغذائية الأخرى: شملت القوائم كذلك أسعار السكر، وزيت الطبخ، والمعكرونة، والصلصات، وحليب الأطفال، وصابون الغسيل، وعلب التونة.
- منتجات الألبان والأجبان: مثل حليب دانو وحليب نستله، وعلب الجبن المتنوعة.
- أصناف متنوعة: تتضمن القائمة كذلك أسعار المكرونة، والملح، ومسحوق الغسيل، وأنواع مختلفة من البسكويت.




ويأمل مكتب الصناعة والتجارة من خلال هذه القوائم في الحد من التلاعب بالأسعار، وتوفير الشفافية للمستهلكين، مما يمكنهم من مقارنة الأسعار وضمان حصولهم على السلع بأسعار عادلة. وتظل هذه الخطوة بمثابة إطار عمل يتم تحديثه باستمرار ليواكب التغيرات في السوق، مما يؤكد على أهمية الدور الرقابي للمكتب في حماية حقوق المستهلكين في محافظة عدن.